امروزه الیاف کولار مختلفی در صنعت مورد استفاده قرار میگیرند. به عنوان نمونه کولار 49 جهت تقویت و تسلیح بتن استفاده میشود (GPa120E= و MPa3500 2700 σ_u= و %7/2 0/2=ε_u). کولار 29 نیز که مدول یانگ نصف کولار 49 دارد و در عوض ازدیاد طول دو برابر آن دارد، برای کاربردهایی که نیاز است در مقابل ضربهه مقاومت بسیار بالایی داشته باشند (مثل جلیقه ضد گلوله)، مورد استفاده قرار میگیرند.
الیاف کولار سبکتر از الیاف کربن و الیاف شیشه بوده و بیشترین مقدار مقاومت کششی نسبت به وزن را در میان آنها داراست. فیبر این الیاف تقریبا 43 درصد سبکتر از الیاف شیشه و 20 درصد سبکتر از الیاف کربن میباشد. وزن مخصوص کم و مقاومت کششی بالای این الیاف، سبب تشکیل یک ساختار چقرمه و مقاوم به ضربه با سفتی حدود نصف الیاف کربن میشود. جلیقه ضد گلوله از موفقیت آمیزترین کاربردهای الیاف آرامید میباشد.
مقاومت کششی الیاف کولار تقریبا 55 درصد مقاومت کششی الیاف شیشه ای و مقاومت برشی آن 180 درصد الیاف شیشه ای میباشد. مقاومت کششی الیاف کولار، همچنین 10 درصد از مقاومت فیبر کربنی کمتر است. الیاف آرامید اگرچه رفتاری الاستیک تحت نیروهای کششی دارند، اما تحت بارهایی فشاری رفتاری غیرخطی دارند و در کرنش فشاری 3 تا 0.55 درصد، به نقطه تسلیم میرسند.
پلیمر کولار خصوصیاتی نظیر نقطه ذوب بالا، پایداری حرارتی عالی، مقاومت در برابر شعله و غیر قابل حل بودن در بسیاری ازحلالهای آلی دارند.
نور ماورای بنفش UV سبب تخریب الیاف آرامید میگردد. میزان این تخریب بستگی به ضخامت فیبر کولار دارد، زیرا الیاف کولار نقش خود حفاظ داشته و تخریب لایه های رویی از تخریب لایه های زیرین جلوگیری میکند. این مشکل در سازه های کامپوزیتی حایز اهمیت کمتری است. زیرا ماتریس یا رزین کامپوزیت تا حدودی نقشش محافظت از الیاف را ایفا میکند. همچنین با افزودن مواد جاذبUV به رزین، مشکل فوق تا حد زیادی کاهش مییابد.
از نقطه نظر مقاومت شیمیایی نیز بیشتر حلال های آلی تاثیر کمی بر الیاف کولار داشته و اکثر محلولهای آبی نمکها بر آن تاثیر ندارند. اما اسیدهای قوی و بازها در دمای بالا و یا در غلظتهای زیاد بر الیاف کولار اثر میگذارند.
الیاف آرامید و کولار رنگ زرد مات داشته و مشابه الیاف کربن و شیشه مورد استفاده در کامپوزیت ها در اشکال مختلف مانند نخ، رشته الیاف نتابیده، پارچه، الیاف کوتاه و غیره وجود دارند توسط شرکت افزیر در بازار ایران عرضه می شوند. لازم به ذکر است که برش الیاف آرامید با وسایل برش معمولی به سختی انجام می شودد و به وسایل برشی مخصوصی احتیاج است.
در مورد بازار فروش الیاف کولار و قیمت الیاف کولار نیز در کشور ایران میتوان به این نکته اشاره کرد که قیمت الیاف آرامید بالا بوده و ترجیحا در ساخت مصالحی نظیر جلیقه ضد گلوله بجای عملیات مقاوم سازی ساختمان استفاده میگردد.

انواع محصولات آرامید
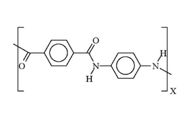
آرامیدها خود به دو نوع اصلی پاراآرامید (PPPT) و متاآرامید (PMPI) تقسیم میشوند. همانطور که در شکل 1 و شکل 2 مشاهده میشود، ساختار مولکولی این دو محصول با یکدیگر تفاوت دارد و باعث بوجود آمدن تفاوتهایی در خصوصیات آنها میشود.


ساختارهای مولکولی دیگری نظیر آنچه در شکل 3 آمده است، وجود دارد. به طور کلی در کلیه ساختارهای مولکولیکه تا به حال از آرامیدها بوجود آمده است، به شرح جدول 1 است.

اما به طور کلی پاراآرامیدها شامل کولار، تواران، ونیولون، آرنکا میشود. متاآرامیدها نیز شامل نومکس، فنیلون، کنکس، تیجینکنکس، KM-21، دورت و اپییل میباشند. مهمترین نوع ODA/PPPT نیز تکنورا میباشد.
کاربردهای آرامید
با توجه به خصوصیات مناسب انواع الیاف آرامید، این الیاف امروزه کاربردهای فراوانی در صنعت دارند.در ادامه به برخی از مهمترین کاربردهای آنها به تفکیک محصول اشاره شده است.
نومکس
به علت قابلیت بالای آن در مقابل حرارت از نومکس در لباسهای آتشنشانی و لباس رانندههای مسابقات اتومبیل سواری و خودروهای آن ها استفاده میشود (شکل 4). کلاههای آتشنشانی یکی از پر طرفدارترین کاربردهای نومکس است. زیرا میتواند به خوبی صورت آتشنشان را در مقابل حریق حفظ نماید.


رانندگان مسابقات اتومبیل سواری هم برای حفاظت از آتشسوزی احتمالی باید لباسهای ضد آتشسوزی بر تن کنند (شکل 5). این لباسها شامل بالاکاوا (شکل 6)، جوراب، کفش مخصوص و پوشش بدنی میباشد.


علاوه بر موارد فوق خلبانهای نظامی هم از پوششهای نومکس استفاده میکنند. همچنین نومکس در بلندگوها هم استفاده میشود.
کولار
امروزه کولار به علت ساختار مولکولی خاص کولار و مقاومت بالای آن در مقابل ضربه و خاصیت انتقال حرارت پایین آن، تبدیل به یکی از محصولات استراتژیک شده است.
از این محصول در فرایندهای سرمازایی استفاده میشود (به علت خاصیت انتقال حرارت پایین آن). همچنین در ساخت پوششهای ضد گلوله نظامی از قبیل کلاه نظامی، ماسک صورت ضد گلوله و جلیقه ضد گلوله استفاده میشود. همچنین در ساخت خودروهای زرهی نظامی هم از این محصول استفاده میشود. از دیگر استفادههای کولار میتوان به کاربرد آن در قسمتهای حیاتی ناو هواپیمابر، لباس افسران پلیس و نگهبانان امنیتی و سازههای عمرانی حساس، استفاده میشود.. دستکشها و جلیقهها و انواع دیگر لباسهای کار برای جلوگیری از سایش، برش و گرما، استفاده میشود.
از کولار در ورزش هم استفاده میشود. از این محصول برای ساخت لباس موتورسواران، مخصوصا در قسمت آرنج و شانهها استفاده میشود. در شمشیر بازی هم از کولار برای ساخت جلیقه و ماسک و شلوار استفاده میکنند. کفشهای ورزشی هم یکی دیگر از موارد استفاده کولار است. در گاوبازی و بازوبندها و زانو بندهایی اسکیت بازی هم از پوشش کولار استفاده میشود. در ساخت برخی تجهیزات ورزشی نظیر لاستیک دوچرخه، زه کمان در تیراندازی، پاراگلایدر، قایق و راکتهای تنیسس نیز کولار کاربرد دارد.

از دیگر موارد استفاده کولار در موسیقی و تجهیزات صوتی است. به علت مشخصات صوتی خوب کولار، از آن در تولید بلندگوهای صوتی استفاده میشود. همچنین در تولید کمان و پوسته طبل و نی میتوان از کولار استفاده نمود.
از دیگر استفادههای کولار، در ماهیتابهها، طناب، کابل، غلاف، تولید برق، ساخت و ساز، ترمز، تلفنهای همراه هوشمند، توربینهای بادی و دریایی است.
تکنورا
تکنورا در مواردی که نیازمند مقاومت شیمیایی یا فیزیکی بالا است، کاربرد دارد.به عنوان نمونه میتوان به موارد زیر اشاره نمود:
- شلنگهای توربو
- شلنگهای فشار بالا
- لاستیکهای مسلح شده
- کابلهای فیبر نوری
- ریسمانها و کابلها
- قایقهای بادبانی
- صفحه طبل
در حال حاضر نیز تحقیقات فراوانی بر روی اثر الیاف آرامید بر روی مواد مختلف نظیر بتن، فولاد، مواد پلیمری و غیره در حال انجام است که این موضوع نشان میدهد کاربرد این الیاف روز به روز در صنایع مختلف در حال بیشتر شدن است.
برای مطالعه بیشتر در این مورد میتوان به م راجع زیر مراجعه نمود:
- José M. García, Félix C. García, Felipe Serna, José L. de la Peña, High-performance aromatic polyamides, Progress in Polymer Science, Volume 35, Issue 5, May 2010, Pages 623-686, ISSN 0079-6700, http://dx.doi.org/10.1016/j.progpolymsci.2009.09.002
- Jahan, Ishrat., Aramid Fiber, Presentation of textile engineering of Green University of Bangladesh












امید یحیایی –
سلام روزتون بخیر؛
چطور می تونم دیتاشیت محصولاتتون رو پیدا کنم؟
مرتضی بندگان –
سلام و عرض ادب و احترام
آیا الیاف آرامید توسط شرکت مقاوم سازی افزیر ارائه می گردد ؟ و برای تهییه آن چه اقدامی لازم است ؟
کارشناس افزیر –
با سلام و احترام
الیاف آرامید استفاده صنعتی دارد و در ساخت مصالح صنعتی استفاده می گردد و در مقاوم سازی ساختمان به دلیل هزینه بالای آن کاربردی ندارد
shadkam –
با سلام و خسته نباشید
مقاومت برشی الیاف کولار نسبت به سایر الیاف چگونه می باشد و برای صنعت مقاوم سازی ساختمان استفاده از کدام نوع الیاف تقویت شده توسط شرکت مقاوم سازی افزیر پیشنهاد می گردد ؟
کارشناس افزیر –
با سلام و احترام
مقاومت کششی الیاف کولار تقریبا 55 درصد مقاومت کششی الیاف شیشه ای و مقاومت برشی آن 180 درصد الیاف شیشه ای میباشد
و در صنعت مقاوم سازی ساختمان بنا به شرایط پروژه عموما از الیاف کربن و الیاف شیشه استفاده می گردد.
Mohsen.o –
باعرض سلام وخسته نباشید وضمن تشکرازمطالب مفیدتان، بنده تقاضای ارائه مشخصات مکانیکی الیاف AFRP مانند مقاومت کششی،فشاری،برشی وکرنش متناظر بامقاومت نهایی وضریب پواسون و…را نیزداشتم لذادرصورت امکان این تقاضارانیز ممکن سازید./باسپاس فراوان
کارشناس افزیر –
با سلام و احترام
محسن عزیز می توانید برای اطلاعات بیشتر با کارشناسان ما تماس بگیرید. (اطلاعات تماس در بخش “تماس با ما” در بالای صفحه ی سایت قابل دسترسی است)